
물 안정동위원소의 증발 거동 특성: 레일리 분별 모델과 크레이그-고든(Craig-Gordon) 모델을 활용한 실험적 검증
초록
물 안정동위원소(δ18O, δ2H)는 증발·응결 등 상변화 과정에 민감하게 반응하여 수문 순환과 기후 변화를 해석하는 데 활용되는 핵심 추적자이다. 특히 증발 과정에서 물 안정동위원소 값이 증가하는 경향을 정량적으로 규명하는 것은 수문 순환을 이해하고 과거 기후·환경 변화를 복원하는 데 핵심적인 정보를 제공한다. 본 연구에서는 열린계 조건에서 증류수를 증발시켜 잔류 비율(f)과 물 안정동위원소 조성의 변화를 추적하고, 이에 영향을 미치는 제어 요인을 분석하였다. 증발 실험 결과를 레일리 모델에 적용한 결과, 유효 분별계수(αeff)는 δ18O와 δ2H 값에 대해 각각 1.0171와 1.0792로 계산되었다. 이후 증발 과정에서 평형(αeq) 및 운동학적(αk) 분별 계수를 구분하기 위해 크레이그-고든(Craig-Gordon) 모델을 추가로 적용하였으며, 그 결과 δ18O에 대해 αeq = 1.0113, αk = 1.0180, δ2H는 αeq = 1.0830, αk = 1.0064로 평가되었다. 이는 δ18O은 상대습도 변화에 민감한 운동학적 분별, δ2H는 온도 의존적 평형 분별의 영향을 더 크게 받은 것으로 해석된다. 이러한 결과는 증발 과정에서의 안정동위원소 분별 특성을 정량적으로 평가함으로써, 수체의 증발 강도와 기후 요인(온도, 상대습도 등)의 관계를 해석할 수 있는 실험적 근거를 제공하며, 자연 수체의 증발 및 습도 복원의 정밀도를 향상시킬 것으로 기대된다.
Abstract
Stable water isotopes (δ18O, δ2H) are key tracers that sensitively respond to phase change processes such as evaporation and condensation, and are widely used to interpret hydrological cylce and climate change. In particular, quantitatively constraining the enrichment trend of stable water isotopes during evaporation provides crucial insights into hydrological processes and the reconstruction of past climate and environmental conditions. In this study, we conducted an open-system evaporation experiment using distilled water to investigate the evolution of isotopic change in relation to the residual water fractions, and analyzed the controlling factors influencing isotopic fractionation. Application of the Rayleigh model to the experimental results yielded effective fractionation factors (αeff) of 1.0171 for δ18O and 1.0792 for δ2H. To further distinguish between equilibrium (αeq) and kinetic (αk) fractionation factors during evaporation, the Craig-Gordon model was applied, resulting in αeq = 1.0113 and αk = 1.0180 for δ18O, and αeq = 1.0830 and αk = 1.0064 for δ2H. These results suggest that δ18O is more strongly influenced by humidity-dependent kinetic fractionation, while δ2H is predominantly controlled by temperature-dependent equilibrium fractionation. Overall, this study provides an experimental basis for quantitatively evaluating isotopic fractionation during evaporation, thereby improving the interpretation of relationships between evaporation intensity and climatic factors (e.g., temperature and relative humidity) and enhancing the precision of evaporation and humidity reconstructions in natural water bodies.
Keywords:
rayleigh model, fractionation factor, stable water isotopes, evaporation experiment, Craig-Gordon model키워드:
레일리 모델, 분별계수, 물 안정동위원소, 증발 실험, 크레이그-고든(Craig-Gordon) 모델1. 서 론
물 안정동위원소(δ18O, δ2H)는 수문학과 기후학 분야에서 널리 활용되는 유용한 추적자로서, 증발·응결과 같은 물리적 상변화 과정에 민감하게 반응하기 때문에 수문 순환과 기후변화를 이해하는 데 중요한 정보를 제공한다(Dansgaard, 1964; Lee et al., 2009, 2010; Klaus and McDonnell, 2013; Yoshimura, 2015; Jung et al., 2020). 이러한 동위원소 값의 변화는 빙하, 얼음쐐기와 같은 고기후 자료에 보존되어, 과거 기후 변동을 재구성하는 핵심 지표로도 활용되어 왔다(Jouzel et al., 2000; Jung et al., 2025; Nyamgerel et al., 2025). 그러나, 동위원소 자료는 초기 수문학적 신호가 보존될 때에만 프록시로서 의미를 가지므로, 증발이나 혼합 등 후속 과정에 의해 변형된 경우에는 해석이 크게 제약된다. 특히 증발 과정은 수체(water body)의 동위원소 조성에 직접적인 변화를 유발하여, 지하수 함양, 대기 수증기 및 강수의 동위원소 변화에 이르기까지 광범위한 영향을 미친다(Gat, 1996; Noon, 2012; Lee et al., 2013; Jung et al., 2021, 2022, 2023, 2024).
이러한 과정에서 나타나는 동위원소 분별(isotopic fractionation)은 액체-기체 상 간의 평형 분별(equilibrium fractionation)과 운동학적 분별(kinetic fractionation)의 결합 효과로 설명된다(Craig and Gordon, 1965; Majoube, 1971). 평형 분별은 온도에 의해 지배되는 열역학적 과정으로, 상대습도가 100%인 조건에서 물과 수증기 사이의 동위원소 교환 반응이 평형에 도달할 때 발생한다. 반면, 운동학적 분별은 비평형적 증발 환경에서 발생하며, 이때 증기 확산과 표면 전달 효과가 우세해져 상대습도나 풍속 등의 환경 조건에 큰 영향을 받는다. 이러한 두 과정의 상호작용은 증발이 진행됨에 따라 남아 있는 잔류수의 동위원소 조성 진화를 지배한다. 이때 평형 분별과 운동학적 분별 효과가 함께 반영된 값이 바로 유효 분별계수(effective fractionation factor, αeff)이며, 이는 분별 과정을 정량적으로 표현하는 핵심 지표이다. 온도 의존성 평형 분별계수(αeq)의 특성은 여러 실험과 이론 연구를 통해 잘 규명되어 왔으나(Majoube, 1971, Kakiuchi and Matsuo, 1979; Horita and Wesolowski, 1994), 상대습도와 표면 조건 등 운동학적 분별계수(αk)의 변화는 여전히 불확실성이 크다. 따라서 αeq와 αk는 발생 메커니즘과 환경 의존성 측면에서 서로 다른 의미를 가지므로, 두 분별계수를 명확히 구분하여 해석하고 그 상호작용을 반영한 αeff의 정량적 규명은 증발 과정의 동위원소 변화를 정확히 이해하기 위해 필수적이다.
최근 기후변화로 인해 기온 상승과 강수 패턴의 변화가 전 세계적으로 가속화되면서, 증발에 의한 동위원소 조성 변화의 중요성은 더욱 커지고 있다(Vystavna et al., 2021). 고온·건조한 기후 조건에서는 증발 손실이 강화되어 가벼운 동위원소가 우선적으로 제거됨에 따라 수체 내 무거운 동위원소의 농축(enrichment of heavy isotopes)이 뚜렷하게 나타나며, 이는 수문학적 신호 해석을 복잡하게 만들거나 고기후 복원 과정에서 잠재적인 왜곡을 초래할 수 있다(Gat, 1996). 따라서, 물의 증발 과정을 지배하는 요인에 대한 이해는 수문 순환을 파악하는 데 필수적이다. 따라서, 관측된 동위원소 조성이 초기 신호를 반영하는지 여부를 구분하고, 더 나아가 적절한 모델을 통해 증발로 인한 변형 이전의 원래 동위원소 조성을 복원할 필요가 있다. 그러나 대부분의 기존 연구는 닫힌계 조건에서 수행된 물-수증기 간 평형 또는 분별 특성에 초점을 맞추었으며(Majoube, 1971; Kakiuchi and Matsuo, 1979; Horita and Wesolowski, 1994), 실제 환경을 반영한 열린계 조건에서 증발 과정을 직접 실험적으로 규명하고 이를 모델과 연계하여 분별 인자를 정량화한 연구는 많지 않다(Gonfiantini et al., 2018).
본 연구에서는 열린계 조건에서 증발 실험을 수행하여, 물 안정동위원소(δ18O, δ2H)가 증발 과정에서 어떻게 진화하는지를 정량적으로 관찰하였다. 증발에 따른 잔류수의 동위원소 조성 변화를 레일리 분별 모델로 해석하고, 이를 통해 유효 분별계수(αeff)를 산정하였다. 또한 실제 증발은 열역학적 평형 분별(αeq)과 운동학적 분별(αk)이 함께 작용하므로, 두 분별 효과를 구분하기 위해 크레이그-고든(Craig-Gordon, C-G) 모델을 병행 적용하였다. 이를 통해 통제된 실험 조건하에서 기존 현장 관측이나 단일 모델 해석이 갖는 불확실성을 최소화하고, 증발 과정에서의 분별계수를 정량적으로 규명하고자 하였다.
2. 연구 방법
2.1. 증발 실험
100 mL 용량의 HDPE 광구병(지름 45 mm, 높이 70 mm) 30개에 증류수 40.0 g을 주입한 뒤, 실험 시작 전 개별 용기의 초기 질량을 측정하고 초기 동위원소 조성을 확인하기 위해 원수는 별도로 보관하였다. 증발 과정은 뚜껑을 완전히 열어 열린계에서 진행되었으며, 48시간 간격으로 30개의 병 중 질량 감소가 가장 큰 병을 하나 선택하여 실험계에서 제거하고 즉시 뚜껑을 밀봉하여 냉동 보관하였다(그림 1a). 이는 용기 위치에 따른 공기 흐름 및 경계층 발달의 편차를 최소화하고, 동일 시간 동안 가장 활발한 증발이 진행된 조건을 대표하는 시료를 확보함으로써 동위원소 조성 변화를 잔류 분율(f)의 함수로 일관되게 해석하기 위한 것이다. 최종적으로 f = 0에 도달하는 데 약 40일(2022년 2월 7일 ~ 2022년 3월 19일)이 소요되었으며, 평균 증발 속도는 약 1.23 g day-1 이었다. 실험 기간 동안 실험실 내 평균 온도와 상대습도는 각각 16.5±3.1℃와 25.3±6.0%였다.
2.2. 동위원소 분석
물 안정동위원소 분석은 레이저분광광도계(그림 1b, PICARRO L2140-i)를 사용하여 δ18O, δ2H를 측정하였다(Jung et al., 2013). 분석오차는 δ18O, δ2H에 대해 각각 0.1, 1.0‰ 이내이다. 본 연구에서는 동위원소 값 보정을 위한 표준물질로 VSMOW2, USGS47, USGS46, SLAP2 총 4가지를 사용했다. VSMOW2는 δ18O = 0‰, δ2H = 0‰, USGS47은 δ18O = –19.80‰, δ2H = –150.2‰, USGS46은 δ18O = –29.80‰, δ2H = –235.8‰, SLAP2는 δ18O = –55.5‰, δ2H = –427.58‰의 값을 가진다.
2.3. 동위원소 분별 모델
본 연구에서는 증발 과정에서 물과 수증기 사이의 물 안정동위원소(δ18O, δ2H) 분별을 정량화하기 위해 동위원소 분별계수(isotope fractionation factor, α)를 다음과 같이 정의하였다.
| (1) |
여기서 Rliquid와 Rvapor는 각각 액체와 기체상의 동위원소(2H/1H, 18O/16O) 비를 의미한다.
레일리 분별 모델(Rayleigh fractionation model)은 물질이 점진적으로 제거되는 과정에서 발생하는 동위원소 분별거동을 설명하는 기본적인 모델로서, 증발 실험에서 잔류수의 동위원소 조성이 어떻게 변화하는지를 해석하는 데 널리 활용된다(Dansgaard, 1964; Lee et al., 2021). 이 모델을 적용하여, 증발이 진행됨에 따라 잔류수의 동위원소 조성이 어떻게 변화하는지를 계산할 수 있으며, 유효 분별계수(αeff)가 일정하다고 가정할 때, 잔류수의 동위원소 조성(δliquid)은 다음 식으로 표현된다.
| (2) |
여기서
는 초기 액체상의 동위원소 조성이며, f는 증발 후 남아 있는 잔류수의 비율을 의미한다. 유효 분별계수(αeff)는 다음과 같이 평형 분별계수(αeq)와 운동학적 분별계수(αk)에 의해 결정된다.
| (3) |
크레이그-고든(Craig-Gordon, C-G) 모델은 열린계 증발 조건에서 평형 분별효과(εeq)와 운동학적 분별효과(εk)를 이용하여 증발에 따른 동위원소 조성 변화를 정량적으로 설명한다(Craig and Gordon, 1965). 이때 분별효과(ε)는 분별계수(α)와 다음과 같은 관계로 표현된다.
| (4) |
이 모델은 다음과 같은 형태로 표현되며, 증발에 의해 생성되는 수증기의 동위원소 조성(δvapor)을 주변 환경조건과 액체상의 조성(δliquid)을 이용하여 예측한다.
| (5) |
여기서, 상대습도(h; 0 ≤ h ≤ 1)는 핵심 매개변수로 작용하여, 주변 대기 수증기 조성(δair)이 액체 표면으로 역확산(back-diffusion)하여 δvapor에 영향을 미치는 정도를 조절한다. 즉, 이 모델은 증발 표면과 주변 대기 사이의 동위원소 교환 평형 상태가 환경조건에 따라 역동적으로 변화함을 설명한다.
C-G 모델은 수문학 및 대기과학 연구에서 증발에 따른 동위원소 분별을 정량화하는 핵심 이론적 기반으로 활용되어 왔으며, 이후 여러 연구에 의해 확장되어 환경조건과 물-대기 상호작용의 물리적 메커니즘을 더욱 정교하게 설명할 수 있는 방향으로 발전해 왔다. Merlivat and Jouzel (1979)은 풍속 변화에 따른 층류-난류 전환을 제시하여 운동학적 분별계수(αk)의 조건부 적용 근거를 마련하였으며, Gat (1996)은 상대습도의 시·공간적 변화가 증발 분별에 미치는 영향을 강조하였다. 최근에는 경계층 혼합(boundary-layer mixing)과 상층 대기 기원 수증기 유입 등 복합 수문-기상 과정이 증발 신호에 미치는 영향이 강조되면서, 이를 통합하여 설명하려는 시도가 활발히 이루어지고 있다(Benetti et al., 2014, 2015, 2018; Feng et al., 2019). 이러한 연구의 흐름 속에서 Unified Craig-Gordon (UCG) 모델(Gonfiantini et al., 2018)이 제안되며 보다 현실적인 자연계 증발-대기 상호작용 모사가 가능해지고 있다.
3. 결과 및 토의
3.1. 증발 조건에서의 안정동위원소 거동
초기 물 동위원소 조성은 δ18O = –8.43‰, δ2H = –58.87‰이었다. 증발이 진행됨에 따라 두 동위원소 값은 점진적으로 증가하여, 실험 종료 시 δ18O = 20.33‰, δ2H = 101.08‰에 도달하였다(그림 2a). 중수소과잉값(deuterium excess; d = δ2H – 8 × δ18O; Dansgaard, 1964)는 초기 8.59‰에서 –61.53‰까지 지속적으로 감소하는 양상을 보였다(그림 2b). 이러한 감소는 실험실의 낮은 상대 습도(약 25%) 조건에서 증발이 크게 가속화되면서 비평형 증발 과정이 우세해졌기 때문이다. 증발 시 운동학적 분별 효과는 δ18O 값에 대한 영향이 δ2H 값에 대한 영향보다 상대적으로 더 크게 나타나며, 이로 인해 액상에 잔류한 물의 δ2H와 δ18O의 관계는 지구천수선(Global Meteoric Water Line, 기울기 8)보다 낮은 기울기(약 5.3)를 갖는 증발선(Evaporation Line)을 따라 변화하게 된다(그림 3). d-excess는 이 증발선이 평형선(기울기 8)에서 멀어질수록 감소하며, δ18O값이 δ2H값에 비해 빠르게 증가함에 따라 음수 값으로 감소하였다.
Relationship between δ2H and δ18O of the experimental samples. The solid line represents the Global Meteoric Water Line (GMWL; δ2H = 8·δ18O + 10; Craig, 1961), while the dashed line shows the regression line fitted to the experimental data (δ2H = 5.29·δ18O-18.06, n = 22, R2 = 0.9937). The regression slope lower than that of the GMWL indicates isotopic fractionation associated with evaporation.
3.2. 모델 기반 동위원소 분별 특성
증발 과정에서의 동위원소 분별 특성을 정량화하기 위하여, 실험에서 얻은 δ18O 값과 δ2H 데이터 중 표준물질 범위 내에 포함되는 분석값을 선별하고(δ18O: f≥0.70, δ2H: f≥0.49), 이를 모델에 적용하여 실험 결과를 가장 잘 설명하는 분별계수를 산정하였다(그림 4). 이때 두 동위원소에 대해 모델 곡선을 최적화하기 위해 Root Mean Square Error (RMSE) 방법을 사용하였으며, RMSE는 각 지점에서 모델 계산값과 관측값의 차이를 제곱해 평균을 구한 뒤 제곱근을 취해 산정하였다. 이러한 RMSE가 작을수록 모델이 관측값을 더 정확하게 재현하는 것으로 판단하였다. δ18O (f≥0.70)에 대한 최적의 레일리 곡선을 도출한 결과, 계산된 곡선은 관측치와 높은 일치도를 보였으며(RMSE = 0.085‰, R2 = 0.9984), 이에 해당하는 최적 유효분별계수(αeff)는 1.0171였다(그림 4a). δ2H (f≥0.49) 역시, 모델과 실측치가 잘 일치하였으며(RMSE = 0.53‰, R2 = 0.9991), 최적 αeff 값은 1.0792로 도출되었다(그림 4b). 그러나 레일리 모델은 평형 분별과 운동학적 분별 효과를 명확히 구분하기 어려워 환경변수의 영향을 개별적으로 해석하는 데에는 한계가 있다(Jouzel and Merlivat, 1984).
Comparison between the Rayleigh and Craig-Gordon (C-G) models for (a) δ18O and (b) δ2H under open-system evaporation conditions. Experimental results (black circles) were fitted using both the Rayleigh model (blue line) and the C-G model (red dashed line).
평형 분별과 운동학적 분별의 상대적 영향을 정량적으로 평가하기 위하여, 본 연구에서는 실험 데이터를 C-G 모델에 적용하여 평형 분별계수(αeq)와 운동학적 분별계수(αk)를 산정하였다. 이때, 상대습도(h = 0.253)는 실험 관측값을 사용하였으며, 대기 수증기 동위원소 조성(δair, δ18O = –20‰, δ2H = –150‰)은 직접 측정값이 없었으므로, 인천 지역에서 관측된 대기 수증기 평균값(δ18O = –24.69‰, δ2H = –153.5‰)을 근거로 한 근사치이다(Kim et al., 2019). 서울과 인천은 약 30 km 내외의 입접해 있으며, 동일한 수도권 기후 체계하에서 해양 기원 수증기 유입과 강수-증발 순환 특성이 매우 유사하다. 또한 ERA5 자료의 수평 해상도가 약 31 km (0.25°×0.25° grid)임을 고려하면, 두 지역은 하나의 격자 또는 인접한 격자로 표현되는 공간 스케일에 해당하여, 대기 수증기 조성이 사실상 동일한 배경 기후 조건 하에 놓여 있다고 판단할 수 있다. C-G 증발 모델은 초기 잔류수(f = 1.0)의 δliquid만을 실측값으로 사용하며, 이후 각 단계에서는 이 δliquid로 부터 식(5)에 따라 δvapor를 계산하고, δvapor를 열린계 질량보존식에 대입하여 다음 단계 잔류수 δliquid을 업데이트하는 방식으로 산정한다. 최종적으로 모델이 계산한 δliquid-f 곡선과 실험 δliquid-f 곡선의 RMSE가 최소가 되는 조합을 αeq와 αk의 최적값으로 선택하였다. 그 결과, δ18O(f ≥ 0.70)에서는 αeq = 1.0113, αk = 1.0180 (RMSE = 0.12‰, R2 = 0.9997)으로, δ2H(f ≥ 0.49)에서는 αeq = 1.0830, αk = 1.0064 (RMSE = 0.53‰, R2 = 0.9991)으로 최적값이 얻어졌다(그림 4).
이러한 C-G 모델 결과는 식(5)에 제시된 평형 분별계수 정의에 근거한 것이며, 모델에서 산정된 αeq값의 적절성을 평가하기 위하여 기존 연구에서 보고된 온도 의존적 평형 분별계수 관계식들을 함께 비교하였다(표 1). 식(6)과 (7)은 Majoube (1971)에 의해, 식(8)과 (9)은 Kakiuchi and Matsuo (1979)에 의해 닫힌계 조건 실험으로부터 얻어진 관계식이다.

Comparison of vapor-liquid isotope fractionation factors (α) at 16.5℃ derived from the Rayleigh and Craig-Gordon (C-G) models and theoretical estimates.
| (6) |
| (7) |
| (8) |
| (9) |
본 연구에서는 이러한 온도 의존식을 이용하여 실험 온도(16.5℃)에 해당하는 αeq를 계산하였으며, 그 결과 δ18O는 1.0102, 1.0101, δ2H는 1.0864, 1.0893으로 산정되었다. 이는 C-G 모델에서 도출된 αeq값과 잘 부합한다(표 1). 이는 이전 연구의 닫힌계 실험에서 도출된 온도 의존적 평형 분별 특성을 C-G 모델이 정확히 재현함을 보여주며, 본 실험 조건에서도 모델의 적용 타당성을 뒷받침한다.
3.3. 평형-운동학적 분별의 제어 인자
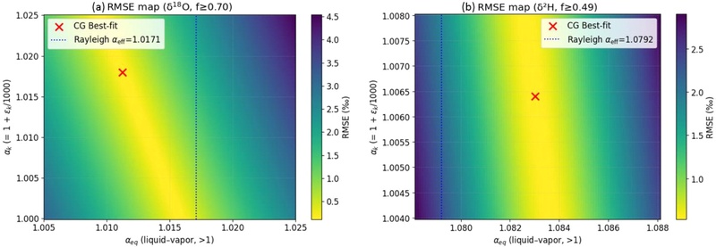
평형 및 운동학적 분별 인자가 δ18O와 δ2H의 증발 분별 거동에 미치는 영향을 정량적으로 비교하기 위해, C-G 모델을 기반으로 αeq와 αk의 다양한 조합에 대한 모델 계산을 수행하였다. 각 αeq-αk 조합에 대해 δliquid를 시뮬레이션하고, 모델 계산값과 실험 관측값 간의 오차(RMSE)를 시각화한 히트맵(heatmap)을 작성하였다(그림 5). αeq-αk평면의 RMSE 히트맵에서 두 동위원소는 서로 다른 분별 거동을 보여준다. δ18O의 경우, 두 매개변수가 함께 변화하는 상관 경향을 보이며, 두 매개변수 간에 보상적인 상호작용이 존재함을 나타낸다(그림 5a). 이는 αeq이 증가할 경우 αk이 감소하거나, 반대로 αk이 커질 때 αeq가 감소함으로써 유사한 δ18O-f 곡선을 재현할 수 있음을 의미한다. 또한 점선(αeff = 1.0171; 레일리 모델 결과)은 최소 오차 구역의 우측 경계에 위치하며, 상대습도를 고려하지 않을 경우 평형 분별계수가 과대 추정될 수 있음을 시사한다. 반면, δ2H의 히트맵은 최소오차 영역이 αk축에 거의 평행하게 형성되어서, αk보다는 αeq에 민감하게 반응하는 경향을 보인다(그림 5b). 이는 상대적으로 δ18O는 상대습도에 따른 운동학적 분별의 민감도가 높고, δ2H는 온도 의존적 평형 분별의 영향이 상대적으로 큼을 의미한다.
이러한 산소와 수소 동위원소의 분별 특성은 모델을 통해 도출한 최적값 결과와도 일치한다. 앞서 C-G 모델 계산 결과, δ2H는 δ18O에 비해 αeq값이 더 크게 나타났으며(δ18O: 1.0113, δ2H: 1.0830), 반대로 δ18O는 αk값이 상대적으로 크게 산정되었다(δ18O: 1.0830, δ2H: 1.0064). 이는 두 동위원소가 서로 다른 제어 인자에 의해 지배됨을 보여주며, δ2H는 온도에 의한 평형 분별의 영향을, δ18O는 확산에 의한 운동학적 분별의 영향을 더 크게 받는 것으로 해석된다. 따라서, 본 연구에서 제시한 C-G 모델 기반 분석은 평형 및 운동학적 분별의 제어 인자를 통합적으로 규명함으로써, 열린계 증발 조건에서 산소와 수소 동위원소의 진화 과정을 정량적으로 해석할 수 있음을 보여준다. 이러한 연구 결과는 향후 자연 수계에서 관측되는 동위원소 변동을 해석하는 데 있어 온도와 습도의 복합 효과를 정량적으로 구분하기 위한 기초 자료로 활용될 수 있을 것이다.
Root mean square error (RMSE) heatmaps showing the sensitivity of model performance to equilibrium (αeq) and kinetic (αk) fractionation factors for (a) δ18O (f ≥ 0.70) and (b) δ2H (f ≥ 0.49). The color scale indicates the RMSE between experimental and modeled isotope values calculated using the Craig-Gordon (C-G) model. The red cross marks the best-fit C-G model parameters, while the dashed line denotes the Rayleigh model solution (αeff).
4. 결 론
본 연구에서는 열린계 증발 조건에서 물 안정동위원소(δ18O, δ2H) 조성의 진화과정을 이해하고, 레일리 및 크레이그-고든(C-G) 모델을 적용하여 평형 및 운동학적 분별계수를 정량적으로 산정하였다. 레일리 모델의 경우, 계산된 곡선은 실험 관측치와 높은 일치도를 보였으나, 평형 분별과 운동학적 분별 효과를 명확히 구분하기 어려워 환경변수의 영향을 개별적으로 해석하는 데에는 한계가 있다. 따라서, C-G 모델을 통해 평형 분별계수(αeq)와 운동학적 분별계수(αk)을 분리함으로써 두 요인의 상대적 기여를 정량적으로 규명하였다. 그 결과, δ18O와 δ2H 모두 도출된 αeq는 기존 닫힌계 실험에서 제시된 온도 의존식으로 도출한 값과 유사하였다. 이는 본 연구가 단순한 경험식 적용을 넘어, 실제 열린계 환경에서의 증발 분별을 실험적으로 재현하였다는 점에서 중요한 의의를 갖는다. 또한, αeq-αk 평면의 RMSE 히트맵 분석을 통해, δ18O는 상대습도에 따른 운동학적 분별의 영향을 강하게 받는 반면, δ2H는 온도 의존적 평형 분별의 기여가 더 큰 것으로 나타났다.
더불어 초기 신호의 보존·상실 여부를 해석하는 문제는 실제 수문 환경에서 증발의 기여도를 정량화하고 시료의 증발 보정을 수행하는 데 매우 중요한 요소이다. 최근 주목받고 있는 17O-excess (Δ17O)는 17O-18O 간의 미세한 비평형 분별 차이를 포착할 수 있어, 상대습도 변화에 민감하게 반응하면서도 온도 영향이 상대적으로 작아 초기 신호 보존 여부를 독립적으로 평가할 수 있는 유망한 지표로 평가된다. 따라서 향후 Δ17O 분석을 병행한다면, 초기 동위원소 조성의 영향과 환경조건에 의한 분별 효과를 분리하여 해석하는 새로운 진단 체계를 구축할 수 있을 것이다. 본 연구에서 도출된 분별계수와 증발 곡선은 장기간 보관된 수문 시료의 부분 증발 보정, 안정동위원소 표준물질의 저장 안정성 평가, 건조 기후에서의 물수지 분석 등 다양한 실용적 응용 가능성을 가진다. 또한 기존 연구들이 현장 자료나 단일 모델에 의존해 분별 과정을 해석하는 데 제약이 있었던 점을 고려할 때, 본 연구의 실험 기반 접근은 평형·운동학적 분별을 실험적으로 구분하고 정량화하는 데 중요한 진전을 제공한다. 향후 Δ17O를 포함한 다중 동위원소 지표와 다양한 환경 조건 실험을 결합한다면, 증발 영향의 정량화 및 기후 변화에 따른 물 수지 변동 예측의 정확도가 더욱 향상될 것으로 기대된다.
Acknowledgments
이 성과는 정부(과학기술정보통신부)의 재원으로 한국연구재단의 지원을 받았으며(RS-2022-NR070576, RS-2025-00554636), 또한 환경부의 재원으로 한국환경산업기술원의 수생태계 건강성 확보 기술개발사업의 지원을 받아 수행된 연구입니다(RS-2024-00332851). 편집위원님과 두 분의 심사위원님들께 감사드립니다.
References
-
Benetti, M., Aloisi, G., Reverdin, G., Risi, C. and Sèze, G., 2015, Importance of boundary layer mixing for the isotopic composition of surface vapor over the subtropical North Atlantic Ocean. Journal of Geophysical Research: Atmospheres, 120, 2190-2209.
[https://doi.org/10.1002/2014JD021947]
-
Benetti, M., Lacour, J.L., Sveinbjörnsdóttir, A.E., Aloisi, G., Reverdin, G., Risi, C., Peters, A.J. and Steen-Larsen, H.C., 2018, A framework to study mixing processes in the marine boundary layer using water vapor isotope measurements. Geophysical Research Letters, 45, 2524-2532.
[https://doi.org/10.1002/2018GL077167]
-
Benetti, M., Reverdin, G., Pierre, C., Merlivat, L., Risi, C., Steen-Larsen, H.C. and Vimeux, F., 2014, Deuterium excess in marine water vapor: Dependency on relative humidity and surface wind speed during evaporation. Journal of Geophysical Research: Atmospheres, 119, 584-593.
[https://doi.org/10.1002/2013JD020535]
-
Craig, H., 1961, Isotopic variations in meteoric waters. Science, 133, 1702-1703.
[https://doi.org/10.1126/science.133.3465.1702]
- Craig, H. and Gordon, L.I., 1965, Deuterium and oxygen 18 variations in the ocean and the marine atmosphere. Proceedings of a Conference on Stable Isotopes in Oceanographic Studies and Paleotemperatures E Tongiorgi 9-130 Pisa, Italy: V. Lischi.
-
Dansgaard, W., 1964, Stable isotopes in precipitation. Tellus, 16, 436-468.
[https://doi.org/10.1111/j.2153-3490.1964.tb00181.x]
-
Feng, X., Posmentier, E.S., Sonder, L.J. and Fan, N., 2019, Rethinking Craig and Gordon's approach to modeling isotopic compositions of marine boundary layer vapor. Atmospheric Chemistry and Physics, 19, 4005-4024.
[https://doi.org/10.5194/acp-19-4005-2019]
-
Gat, J.R., 1996, Oxygen and hydrogen isotopes in the hydrologic cycle. Annual Review of Earth and Planetary Sciences, 24, 225-262.
[https://doi.org/10.1146/annurev.earth.24.1.225]
-
Gonfiantini, R., Wassenaar, L.I., Araguas-Araguas, L. and Aggarwal, P.K., 2018, A unified Craig-Gordon isotope model of stable hydrogen and oxygen isotope fractionation during fresh or salt-water evaporation. Geochimica et Cosmochimica Acta, 235, 224-236.
[https://doi.org/10.1016/j.gca.2018.05.020]
-
Horita, J. and Wesolowski, D.J., 1994, Liquid-vapor fractionation of oxygen and hydrogen isotopes of water from the freezing to the critical temperature. Geochimica et cosmochimica acta, 58, 3425-3437.
[https://doi.org/10.1016/0016-7037(94)90096-5]
-
Jouzel, J., Hoffmann, G., Koster, R.D. and Masson, V., 2000, Water isotopes in precipitation: data/model comparison for present-day and past climates. Quaternary Science Reviews, 19, 363-379.
[https://doi.org/10.1016/S0277-3791(99)00069-4]
-
Jouzel, J. and Merlivat, L., 1984, Deuterium and oxygen 18 in precipitation: Modeling of the isotopic effects during snow formation. Journal of Geophysical Research: Atmospheres, 89, 11749-11757.
[https://doi.org/10.1029/JD089iD07p11749]
-
Jung, H., Ahn, J., Iwahana, G. and Lee, J. 2025, Understanding water flowpaths and origins in an Arctic Alaskan basin: Implications for permafrost hydrology under global warming. Advances in Climate Change Research, 16, 361-372.
[https://doi.org/10.1016/j.accre.2025.03.001]
-
Jung, H., Jeen, S.W., Lee, H. and Lee, J., 2022, Diel variations in chemical and isotopic compositions of a stream on King George Island, Antarctica: Implications for hydrologic pathways of meltwater. Science of the Total Environment, 825, 153784.
[https://doi.org/10.1016/j.scitotenv.2022.153784]
-
Jung, H., Kim, Y.S., Yoo, J., Han, S.J. and Lee, J., 2023, Identification of nitrate sources in tap water sources across South Korea using multiple stable isotopes: Implications for land use and water management. Science of the Total Environment, 864, 161026.
[https://doi.org/10.1016/j.scitotenv.2022.161026]
-
Jung, H., Kim, Y.S., Yoo, J., Park, B. and Lee, J., 2021, Seasonal variations in stable nitrate isotopes combined with stable water isotopes in a wastewater treatment plant: implications for nitrogen sources and transformation. Journal of Hydrology, 599, 126488.
[https://doi.org/10.1016/j.jhydrol.2021.126488]
-
Jung, H., Koh, D.C., Kim, Y.S., Jeen, S.W. and Lee, J., 2020, Stable isotopes of water and nitrate for the identification of groundwater flowpaths: A review. Water, 12, 138.
[https://doi.org/10.3390/w12010138]
-
Jung, H., Lee, J., Yoo, J., Kim, M. and Kim, Y.S., 2024, Improving the accuracy of nitrogen estimates from nonpoint source in a river catchment with multi-isotope tracers. Science of The Total Environment, 921, 171016.
[https://doi.org/10.1016/j.scitotenv.2024.171016]
-
Jung, Y.-Y., Koh, D.-C., Lee, J., and Ko, K.-S., 2013, Applications of Isotope Ratio Infrared Spectroscopy (IRIS) to Analysis of Stable Isotopic Compositions of Liquid Water. Economic and Environmental Geology, 46, 495-508 (in Korean with English abstract).
[https://doi.org/10.9719/EEG.2013.46.6.495]
-
Kakiuchi, M. and Matsuo, S., 1979, Direct measurements of D/H and 18O/16O fractionation factors between vapor and liquid water in the temperature range from 10 to 40°C. Geochemical Journal, 13, 307-311.
[https://doi.org/10.2343/geochemj.13.307]
-
Kim, S., Han, Y., Hur, S.D., Yoshimura, K. and Lee, J., 2019, Relating moisture transport to stable water vapor isotopic variations of ambient wintertime along the western coast of Korea. Atmosphere, 10, 806.
[https://doi.org/10.3390/atmos10120806]
-
Klaus, J. and McDonnell, J.J., 2013, Hydrograph separation using stable isotopes: Review and evaluation. Journal of hydrology, 505, 47-64.
[https://doi.org/10.1016/j.jhydrol.2013.09.006]
-
Lee, J., Feng, X., Faiia, A.M., Posmentier, E.S., Kirchner, J.W., Osterhuber, R. and Taylor, S., 2010, Isotopic evolution of a seasonal snowcover and its melt by isotopic exchange between liquid water and ice. Chemical geology, 270, 126-134.
[https://doi.org/10.1016/j.chemgeo.2009.11.011]
-
Lee, J., Feng, X., Posmentier, E.S., Faiia, A.M. and Taylor, S., 2009, Stable isotopic exchange rate constant between snow and liquid water. Chemical Geology, 260, 57-62.
[https://doi.org/10.1016/j.chemgeo.2008.11.023]
-
Lee, J., Jung, H. and Nyamgerel, Y., 2021, Rayleigh Fractionation of Stable Water Isotopes during Equilibrium Freezing. Economic and Environmental Geology, 54, 61-67 (in Korean with English abstract).
[https://doi.org/10.9719/EEG.2021.54.1.61]
-
Lee, J., Worden, J., Koh, D.C., Yoshimura, K. and Lee, J.E., 2013, A seasonality of δD of water vapor (850-500 hPa) observed from space over Jeju Island, Korea. Geosciences Journal, 17, 87-95.
[https://doi.org/10.1007/s12303-013-0003-5]
-
Majoube, M., 1971, Fractionnement en oxygène 18 et en deutérium entre l’eau et sa vapeur. Journal de Chimie Physique, 68, 1423-1436.
[https://doi.org/10.1051/jcp/1971681423]
-
Merlivat, L. and Jouzel, J., 1979, Global climatic interpretation of the deuterium-oxygen 18 relationship for precipitation. Journal of Geophysical Research: Oceans, 84, 5029-5033.
[https://doi.org/10.1029/JC084iC08p05029]
-
Noone, D., 2012, Pairing measurements of the water vapor isotope ratio with humidity to deduce atmospheric moistening and dehydration in the tropical midtroposphere. Journal of Climate, 25, 4476-4494.
[https://doi.org/10.1175/JCLI-D-11-00582.1]
-
Nyamgerel, Y., Hur, S.D., Soyol-Erdene, T.O., Xiao, C., Jung, H. and Lee, J., 2025, Assessment of trace elements distribution and sources from snowpits in the Lambert Glacier region, coastal East Antarctica. Geoscience Frontiers, 16, 102045.
[https://doi.org/10.1016/j.gsf.2025.102045]
-
Vystavna, Y., Harjung, A., Monteiro, L.R., Matiatos, I. and Wassenaar, L.I., 2021, Stable isotopes in global lakes integrate catchment and climatic controls on evaporation. Nature Communications, 12, 7224.
[https://doi.org/10.1038/s41467-021-27569-x]
-
Yoshimura, K., 2015, Stable water isotopes in climatology, meteorology and hydrology: A review. Journal of the Meteorological Society of Japan, Ser. II, 93, 513-533.
[https://doi.org/10.2151/jmsj.2015-036]



